 更新时间:2022-07-25
更新时间:2022-07-25     浏览量:1893
浏览量:1893基本定义
极化曲线测量方法一般可分为两类:控制电极电势连续扫描测定电流得到的极化曲线称为动电位极化曲线;控制电流连续扫描测量相应的电位得到的极化曲线称为动电流极化曲线[1],用于描述在电解液或电极上施加以一定速率不断变化的电流的系统。
动电流法的应用现状
动电流法在材料、能源、催化及腐蚀等领域都有着广泛的应用研究,例如,田等[2]人采用动电流极化法确定Fe-FeCl3变种金属-空气电池正极电解液中*的Fe3+浓度;Eftekhari A[3]等人采用动电流极化法合成聚苯胺,并且在该项工作中考察了电流扫描范围、扫描速率、扫描方向和电流扫描循环次数等各种可控参数对合成的电活性材料性质和形态结构的影响,表明动电流方法进行聚苯胺的电化学合成的便利性与可控性,以及合成其它电活性材料的潜在应用价值;Das P[5,6]等人通过正向扫描与反向扫描的方式,在动电流极化方法下测试电沉积镍的沉积电位与成核电位;Sánchez-Tovar R[7]等人采用动电流极化法对不锈钢在850g/L的LiBr溶液中的腐蚀行为进行了研究,包括腐蚀电位、腐蚀电流、点蚀电位等基本腐蚀参数测量等;除了基本腐蚀参数的测量,动电流法应用于腐蚀机理研究的报道也比较常见,如Pavlidou M[8]等在正向于反向的动电流扫描中,考察了硝酸盐或氯化物等对Fe的腐蚀行为影响,主要根据添加硝酸盐或氯化物前后的动电流测试结果,对可能发生的反应进行分析论证。此外,动电流测试结果的对比,也能应用于材料催化性能的对比,如相同测试电流下具有更高电位的材料往往具有更优的氧还原性能[9]。
DH7000系列电化学工作站激励信号及关键参数
3.1 激励信号
DH7000系列电化学工作站动电流极化法的激励信号如图所示。通过控制电流连续扫描来测量电极电势。

DH7000系列动电流法的激励信号
3.2 关键参数
DH7000系列电化学工作站进行动电流极化法测试时需要设置的参数包括最初电流、最终电流、阶跃高度、阶跃时间。
最初电流:电流扫描起始点,仪器可设置范围-2A~2A。依据样品及体系的特性,在实际的测试过程中,推荐设置范围-0.2A~0.2A。
最终电流:电流扫描终止点,仪器可设置范围-2A~2A。依据样品及体系的特性,在实际的测试过程中,推荐设置范围-0.2A~0.2A。
阶跃高度:仪器可设置范围0.000001A-2A。推荐设置范围0.001~0.02A。
阶跃时间:仪器可设置范围0.0002s-1000s。推荐设置范围0.001s~1s。
扫描速率:阶跃高度/阶跃时间。
全部点数:一次脉冲采集一个点。为整个实验的点数。
注意:动电流方法用于腐蚀体系测试前,需确保待测体系的稳定性避免搅拌等操作对体系造成扰动,通常先进行开路电位测试,若存在电位漂移或跃迁,应延长稳定期或增加滤波强度,确认体系稳定之后再进行下一步测试。此外,当动电流方法用于沉积电位和成核电位的测量时,扫描速率的设置也很重要,在较小的扫速内更容易测量出可靠的成核电位,沉积电位则与扫速无关[5]。
测试体系
4.1 AgNO3体系
1)测试体系:在硝.酸.银镀银液体系下,选用直径3 mm的玻碳电极为WE、SCE为RE、Pt丝为CE组成的常规三电极体系进行动电流测试,考察添加表面活性剂和次光亮剂对镀银体系的影响。
2)玻碳电极预的处理:采用直径为5、0.3和0.05μm的Al2O3粉依次对玻碳电极进行物理抛光,之后用去离子水清洗干净备用。需要注意的是,每测试完一次动电流极化,需再次对玻碳电极进行抛光清洗以免影响下一次的测试结果。
3)基本激励信号参数:初始电流为0;最终电流为-1.765mA(2.5ASD);阶跃高度为0.005mA;阶跃时间为0.005s,对应扫速为1mA/s。
4)测试使用仪器:DH7000电化学工作站
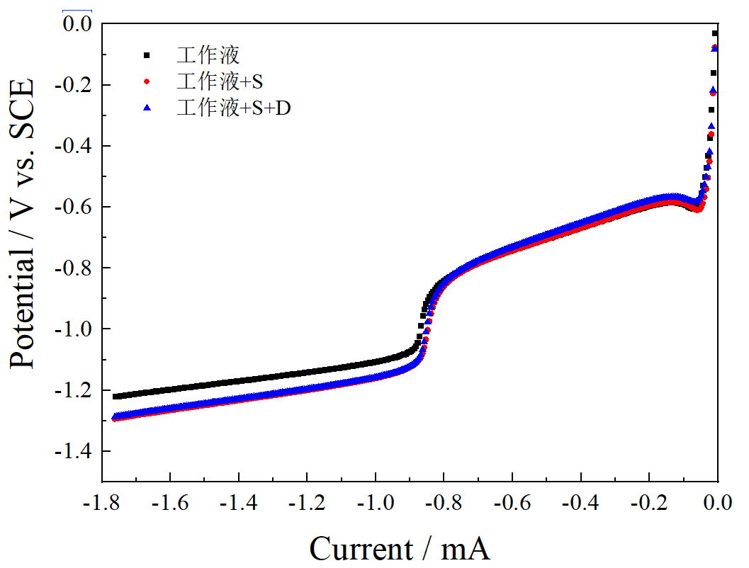
5)测试结果:

DH7000系列电化学工作站镀银体系下动电流极化法测试结果
通过动电流扫描可以考察极化电势的变化。图2为镀银体系的基础工作液、添加表面活性剂(S)和添加表面活性剂(S)与次级光亮剂(D)后的工作液在0~2.5ASD范围内的动电流扫描结果。从图中可知,随着电流的增加,电势迅速变负,并在~-0.08 mA(对应0.1ASD的电流密度) 处形成一个小峰,该过程对应了玻碳电极表面的银成核结晶过程。之后,随着电流增加,驱动电势也随之线性增加并在-0.85mA处形成一个电势阶跃。在原镀液加入添加表面活性剂后,随着电流增加驱动电势也随之增加,之后在-0.80mA处形成一个电势阶跃。说明表面活性剂对玻碳电极表面起到吸附作用,加快了银的沉积过程。而加入次级光亮剂和表面活性剂的体系(蓝色曲线)与加了表面活性剂的体系(红色曲线)动电流测试结果几乎一致,表明次级光亮剂的加入对镀液的影响不大。
4.2 Ag2CO3体系
1)测试体系:使用碳.酸.银镀银液体系,在温度为20℃,转速为400r/min的条件下,采用预处理好的1.5cm×1.5cm的铜片为WE、SCE为RE、Pt丝为CE组成的常规三电极体系进行动电流测试,并考察不同阴阳极面积比对测试结果的影响。
2)基本激励信号参数:初始电流为0;最终电流为-135mA(3ASD);阶跃高度为0.005mA;阶跃时间为0.005s,对应扫速为1mA/s。
3)测试结果:

不同阴阳极面积比下的动电流测试结果
图中蓝色、红色和绿色曲线分别代表阴阳极面积比为1:4、1:6和1:9镀银液体系下的动电流测试结果。三条曲线整体表现具有一定的相似性,当电流扫描范围在镀银铜片的光亮区间时,电势随着电流的增加而线性增加;之后,当电流扫描范围超过光亮区间,电势开始发生较大的阶跃,此时镀银铜片表面不再光亮,继续增加电流扫描范围,镀银铜片开始逐渐发黑。扫描到截止电流~3ASD时,铜片表面已*“碳化"。此外,对比可以发现,在阴极面积固定的前提下,阳极面积越大,镀银光亮区间越大,但最终的阶跃电势均在1.7V附近。
总结
动电流极化法是一种通过在电解液或电极上施加以一定速率不断变化的电流,从而记录体系电势变化的方法。通过动电流法,可以测量腐蚀电位、腐蚀电流等基本腐蚀参数,也能测量电沉积研究中的成核电位和沉积电位,还能对材料性能进行对比测试、优化选择,对测试体系进行机理分析等等,在能源、材料、腐蚀、催化等领域具有广泛的应用前景。
参考文献
[1] 罗先甫, 张文利, 翟智梁,等. 奥氏体-铁素体双相不锈钢晶间腐蚀试验方法[J]. 理化检验:物理分册.
[2] 田文明, 李忠磊, 吴佳霖,等. 基于Fe-FeCl_(3)的变种金属-空气电池性能测试[J]. 北华航天工业学院学报, 2021, 31(2):3.
[3] Eftekhari A, Jafarkhani P. Galvanodynamic synthesis of polyaniline: a flexible method for the deposition of electroactive materials[J]. Journal of Electroanalytical Chemistry, 2014, 717: 110-118.
[4] Jafarkhani P, Eftekhari A. Galvanodynamic Synthesis of Conductive Polymers[C]//ECS Meeting Abstracts. IOP Publishing, 2006 (42): 1832.
[5] Das P, Samantaray B, Dolai S, et al. Combined Effect of Sodium Lauryl Sulphate and Saccharin on Microstructure and Corrosion Performance of Electrodeposited Nickel Prepared from Modified Watts Bath[J]. Metallurgical and Materials Transactions A, 2021, 52(5): 1913-1926.
[6] Schoeman L, Sole K C. Prediction of morphology development from nucleation and plating overpotentials in nickel electrodeposition[J]. Canadian Metallurgical Quarterly, 2017, 56(4): 393-400.
[7] Sánchez-Tovar R, Montañés M T, García-Antón J. Effect of the micro-plasma arc welding technique on the microstructure and pitting corrosion of AISI 316L stainless steels in heavy LiBr brines[J]. Corrosion science, 2011, 53(8): 2598-2610.
[8] Pavlidou M, Pagitsas M, Sazou D. Potential oscillations induced by the local breakdown of passive iron in sulfuric acid media. An evaluation of the inhibiting effect of nitrates on iron corrosion[J]. Journal of Solid State Electrochemistry, 2015, 19(11): 3207-3217.
[9] Dembinska B, Zlotorowicz A, Modzelewska M, et al. Low-noble-metal-loading hybrid catalytic system for oxygen reduction utilizing reduced-graphene-oxide-supported platinum aligned with carbon-nanotube-supported iridium[J]. Catalysts, 2020, 10(6): 689.

版权所有©2025 江苏东华分析仪器有限公司 Al Rights Reseved 备案号:苏ICP备18014607号-2 Sitemap.xml 管理登陆 技术支持:化工仪器网
 苏公网安备32128202000860
  苏公网安备32128202000860